Between Saturdays: Your Phone Spikes Your Blood Sugar
Erythritol may stress blood vessels & drop nitric oxide. Stem cells reversed type 1 & 2 diabetes — no insulin needed. Distracted eating + blue light during meals raise glucose spikes.
This week from new research questioning the vascular safety of erythritol (a popular sugar substitute), to stem cell trials that may have just redefined what diabetes treatment looks like, the findings are both practical and profound. Add in two studies on distracted eating — one behavioral, one biochemical — and the message is pretty clear: our metabolic health is quietly shaped by what we’re doing around our meals as much as what’s on the plate.
As always, this roundup skips the hype and gets to what matters — the small, evidence-backed shifts that help us live, parent, and function with a little more clarity.
Caught My Eye…
Sugar-Free, but at What Cost?
A recent study presented at the 2025 American Physiology Summit by researchers from the University of Colorado Boulder investigated the effects of erythritol, a common sugar substitute, on human brain microvascular endothelial cells.
Researchers exposed human brain microvascular endothelial cells to erythritol at concentrations roughly equivalent to a standard energy drink or sugar-free treat. The results? A significant spike in oxidative stress, alongside a drop in nitric oxide production.
If that last part sounds technical, here’s the translation: nitric oxide is your blood vessels' best friend. It keeps them relaxed and open, helping to maintain healthy blood pressure, good circulation, and proper oxygen delivery. It’s also implicated in everything from mood regulation and vision health to cognitive function.
In simple terms: if your body can’t make enough nitric oxide, you could be at greater risk for:
High blood pressure
Impaired circulation
Mood disorders such as depression
Vision disturbances
Increased risk of neurodegenerative diseases and cardiovascular events
The study doesn't claim that one stick of sugar-free gum will give you a stroke. But it does ask us to consider what happens when something labeled “better” becomes habitual — the syrup in our daily “guilt-free” latte, the hidden sweetener in our protein bar, the ever-growing aisle of “zero sugar” everything.
This study builds on recent research linking erythritol consumption with platelet reactivity and clot formation, suggesting the need for a broader re-evaluation of sugar substitutes once hailed as universally “safe.”
Reversing Diabetes with Stem Cells: A Milestone in Regenerative Medicine
Chinese researchers have recently reported groundbreaking results in reversing both type 1 and type 2 diabetes using autologous stem cell therapy—a leap forward in both personalized and regenerative medicine.
Type 1 Diabetes Breakthrough
At Tianjin First Central Hospital, a 25-year-old woman with type 1 diabetes became the first known patient to achieve sustained insulin independence through her own reprogrammed fat cells.Researchers converted her fat cells into chemically induced pluripotent stem cells (CiPSCs).
These were then differentiated into insulin-producing islet cells and transplanted into her abdominal muscle.
Within 75 days, she no longer required insulin injections; one year later, she continued stable glycemic control without insulin therapy.
That makes her the first documented case of a type 1 diabetes patient achieving long-term insulin independence through autologous (self-derived) stem cell therapy. No donors. No immunosuppressants. Just her own reprogrammed cells doing the job her pancreas used to do.
In a separate study, researchers treated a 59-year-old man with type 2 diabetes using a similar technique — this time deriving islet cells from his endoderm stem cells. Within 11 weeks, he, too, became insulin-independent. As of 2024, he remains free of insulin therapy.
Here’s why this matters:
If these findings hold in larger trials, stem cell therapy could shift diabetes care from lifelong management to cellular-level reversal. That means:
Replacing damaged or destroyed pancreatic function
Eliminating the need for external insulin
Reducing long-term complications from blood sugar dysregulation
Possibly freeing millions from constant blood sugar monitoring
How Smartphone Use During Meals Affects Blood Sugar
Research indicates that distractions like smartphone use during meals can lead to increased caloric intake and altered metabolic responses. A study published in Physiology & Behavior found that participants who used their phones while eating consumed approximately 15% more calories, particularly from fats, compared to those who ate without distractions.
Another review highlighted that smartphone usage during meals not only increases calorie consumption but also disrupts post-meal metabolic responses. These disruptions are largely mediated by reduced meal awareness and psychological distractions, including multitasking.
Why This Happens
Using a smartphone while eating diverts attention from the meal, leading to:
Mindless Eating: Reduced awareness of food intake can impair satiety signals, causing overeating.
Altered Metabolic Responses: Distractions can disrupt normal postprandial (after eating) metabolic processes, potentially affecting blood sugar regulation.
Tips to Maintain Healthy Blood Sugar Levels During Meals
Eliminate Distractions: Put away smartphones and other electronic devices during meals to focus on eating.
Practice Mindful Eating: Pay attention to hunger and fullness cues, and savor each bite to enhance satiety.
Establish a Routine: Create a consistent mealtime environment that encourages focus on the meal itself.
By minimizing distractions during meals, you can support better blood sugar regulation and overall metabolic health.
Blue Light at Dinner? Your Blood Sugar Isn’t a Fan.
If the content on your phone isn’t disrupting your metabolism, the light from it might be.
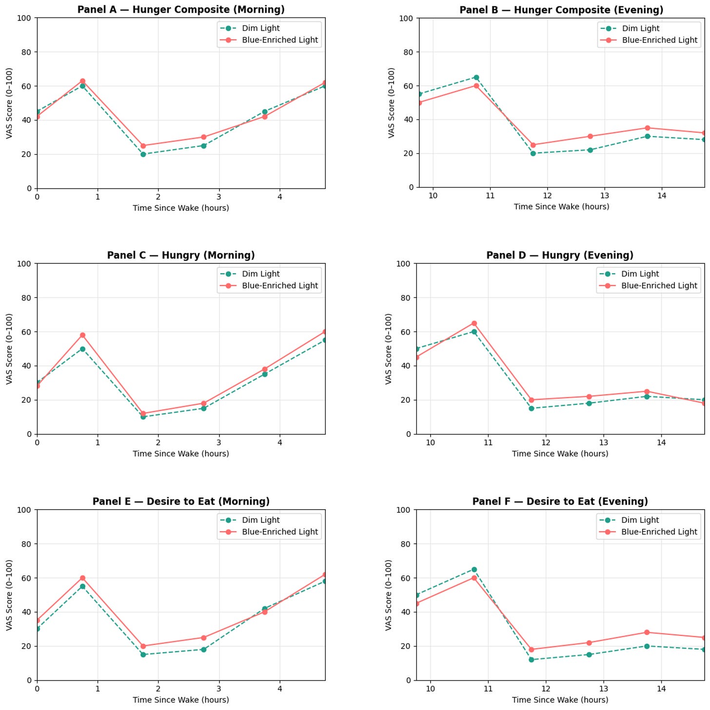
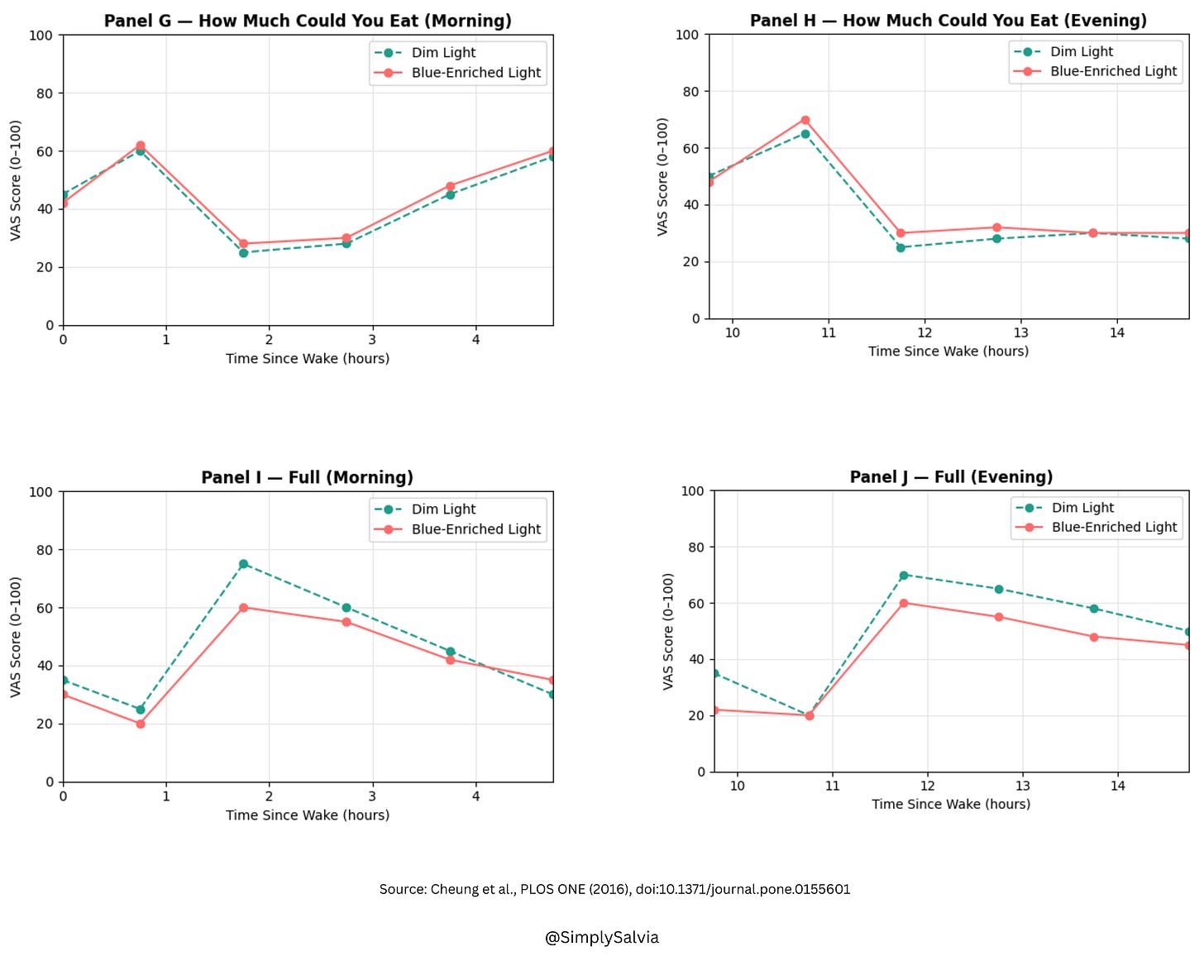
A study published in PLOS ONE examined how blue-enriched light exposure during meals affects blood sugar regulation and yes, that includes the glow from your phone.
Researchers had 19 healthy adults eat identical meals while exposed to either dim light (under 20 lux) or blue-enriched light (~260 lux), which mimics the kind of light emitted by phones, tablets, and LED screens. The sessions were done in both the morning and evening to test time-of-day effects.
Here’s what they found:
Increased insulin resistance — Participants exposed to blue light during meals had higher HOMA-IR scores, a marker of insulin resistance, compared to those in dim lighting.
Higher blood sugar spikes — Evening exposure led to significantly higher peak glucose levels after eating.
Weaker insulin response — The body didn’t manage blood sugar as effectively under blue light, suggesting reduced insulin sensitivity.
In simple terms: using your phone during meals — especially dinner — may impair your body's ability to process food properly. Not because of distraction (though that’s a whole other issue), but because the blue light emitted by screens interferes with your circadian and metabolic regulation.
What You Can Do:
Avoid screens during meals — particularly at night.
Use blue light filters or “night mode” settings on devices if you need to use them.
Try to eat earlier in the evening to better align with natural light cycles.
We already know that multitasking while eating affects how much we consume. Now we’re learning that the light from our screens may also be telling our bodies the wrong time to metabolize. So next time you reach for your phone at the dinner table — maybe just… don’t.
Detailed Readings
Reversing Diabetes with Stem Cells: A Milestone in Regenerative Medicine
Blue-enriched light exposure during meals affects glucose metabolism





